无法使用此链接。检查链接是否以 "http://" 或 "https://" 开头,然后重试。
无法处理此搜索。请尝试其他图像或关键字。
试用视觉搜索
使用图像搜索、识别对象和文本、翻译或解决问题
将一个或多个图像拖到此处,
上传图像
或
打开相机
你提供的照片可能用于改善必应图片处理服务。
隐私政策
|
使用条款
将图像放置到任意位置以开始搜索
要使用可视化搜索,请在浏览器中启用相机
English
全部
搜索
图片
灵感
创建
集合
视频
地图
资讯
更多
购物
航班
旅游
笔记本
自动播放所有 GIF
在这里更改自动播放及其他图像设置
自动播放所有 GIF
拨动开关以打开
自动播放 GIF
图片尺寸
全部
小
中
大
特大
至少... *
自定义宽度
x
自定义高度
像素
请为宽度和高度输入一个数字
颜色
全部
仅限颜色
黑白
类型
全部
照片
剪贴画
素描
动画 GIF
透明
版式
全部
方形
横版
高
人物
全部
仅脸部
半身像
日期
全部
过去 24 小时
过去一周
过去一个月
去年
授权
全部
所有创作共用
公共领域
免费分享和使用
在商业上免费分享和使用
免费修改、分享和使用
在商业上免费修改、分享和使用
详细了解
清除筛选条件
安全搜索:
中等
严格
中等(默认)
关闭
筛选器
1654×2339
byjus.com
CBSE Class 12 Maths Sample Paper Set 1 - Get PDF!
768×1168
mathongo.com
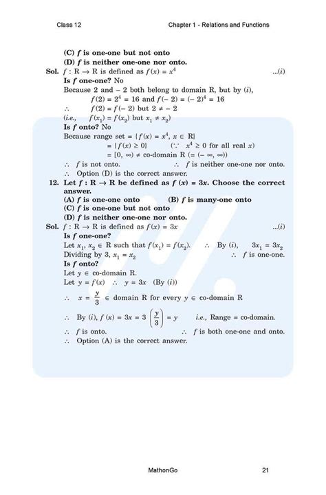
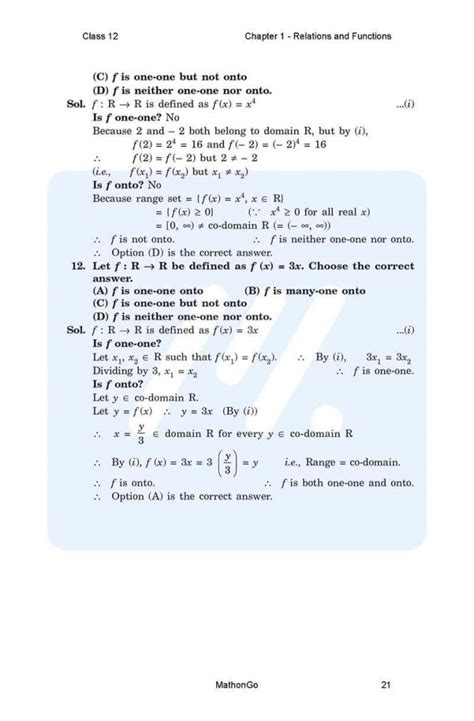
NCERT Solutions for Class 12 Maths Chapter 1 Exercise 1.…
686×1024
mathongo.com
NCERT Exemplar for Class 12 Maths Chapter 1 – MathonGo
1079×1515
esaral.com
NCERT Class 12 Maths Chapter 1 Exercise 1.2 Solu…
1653×2339
tiwariacademy.com
NCERT Solutions for Class 12 Maths Chapter 1 Exercise 1.…
2479×3507
cuemath.com
NCERT Solutions Class 12 Maths Chapter 1 Exercise 1.…
1480×2095
cuemath.com
NCERT Solutions Class 12 Maths Chapter 1 Exercise 1.…
1700×2200
byjus.com
NCERT Solutions for Class 12 Maths Exercise 1.2 Chapter …
1700×2200
byjus.com
NCERT Solutions for Class 12 Maths Exercise 1.2 Chapter …
673×1024
mathongo.com
NCERT Solutions for Class 12 Maths Chapter 1 Exercise 1.…
1068×1523
esaral.com
NCERT Class 12 Maths Chapter 1 Exercise 1.2 Solu…
1079×1513
esaral.com
NCERT Class 12 Maths Chapter 1 Exercise 1.2 Solu…
1653×2339
tiwariacademy.com
NCERT Solutions for Class 12 Maths Chapter 1 Exercise 1.…
1572×2223
cuemath.com
NCERT Solutions Class 12 Maths Chapter 1 Exercise 1.…
1700×2200
byjus.com
NCERT Solutions for Class 12 Maths Exercise 1.2 Chapter …
1700×2200
byjus.com
NCERT Solutions for Class 12 Maths Exercise 1.2 Chapter …
1988×2811
cuemath.com
NCERT Solutions for Class 12 Maths Chapter 1 Exercise 1.…
800×1217
mathongo.com
NCERT Solutions for Class 12 Maths Chapter 1 Exercise 1.…
1068×1526
esaral.com
NCERT Class 12 Maths Chapter 1 Exercise 1.2 Solu…
1653×2339
tiwariacademy.com
NCERT Solutions for Class 12 Maths Chapter 2 Exercise 2.…
1280×720
store.pw.live
NCERT Solutions for Class 12 Maths Chapter 1 Excercise …
1700×2200
byjus.com
NCERT Solutions for Class 12 Maths Exercise 1.2 Chapter …
1700×2200
byjus.com
NCERT Solutions for Class 12 Maths Exercise 1.2 Chapter …
2080×2942
cuemath.com
NCERT Solutions for Class 12 Maths Chapter 2 Exercise 2.…
1736×2456
cuemath.com
NCERT Solutions for Class 12 Maths Chapter 12 Exercise …
1079×1518
esaral.com
NCERT Class 12 Maths Chapter 1 Exercise 1.2 Solu…
1653×2339
tiwariacademy.com
NCERT Solutions for Class 12 Maths Chapter 1 Exercise 1.…
1744×2467
cuemath.com
NCERT Solutions Class 12 Maths Chapter 1 Exercise 1.…
1700×2200
byjus.com
NCERT Solutions for Class 12 Maths Exercise 1.2 Chapter …
800×1217
mathongo.com
NCERT Solutions for Class 12 Maths Chapter 1 Exercise 1.…
2307×3263
cuemath.com
NCERT Solutions for Class 12 Maths Chapter 1 Exercise 1.…
1079×1499
esaral.com
NCERT Class 12 Maths Chapter 1 Exercise 1.2 Solu…
1653×2339
tiwariacademy.com
NCERT Solutions for Class 12 Maths Chapter 1 Exercise 1.…
2105×2978
cuemath.com
NCERT Solutions Class 12 Maths Chapter 1 Exercise 1.…
1653×2339
tiwariacademy.com
[For Session 2025-26] NCERT Solutions for Class 12 Math…
某些结果已被隐藏,因为你可能无法访问这些结果。
显示无法访问的结果
报告不当内容
请选择下列任一选项。
无关
低俗内容
成人
儿童性侵犯
反馈